Բի մոլորակի վրա գրքեր չկան: Գիտելիքներն անյտեղ վաճառում և գնում են շշերի մեջ: Պատմությունն, օրինակ, վարդագույն ջուր է, նռան հյութի նման, աշխարհագրությունը՝ անանուխի կանաչ ջուր, իսկ քերականությունը անգույն հեղուկ է, ոնց որ հանքային ջուր լինի:
«Բի» մոլորակի վրա դպրոցներ չկան: Ամեն մեկն իր տանն է սովորում: Առավոտյան բոլոր երեխաները, կախված տարիքից, պետք է մի բաժակ պատմություն խմեն, մի քանի գդալ մաթեմատիկա ուտեն և այդպես՝ շարունակ:
Պատկերացնո՞ւմ եք, այսքանից հետո երեխաները դեռ կամակորություն են անում:
-Խելացի եղիր,-համոզում է մայրը: – Մի՞թե դու չգիտես, թե ինչքան համեղ է կենդանաբանությունը: Ախր այն շատ քաղցր է, է՛: Հարցրո՛ւ Կարոլինային (Կարոլինան նրանց տան էլեկտրական ռոբոտն էր):
Կարոլինան համաձայնում է փորձել շշի պարունակությունը: Մի քիչ լցնում է իր բաժակի մեջ, խմում է և վայելում:
— Ի՜նչ համեղ է,- բացականչում է նա և անմիջապես սկսում է շարադրել իր ստացած գիտելիքները. «Կով՝ որոճացող անասուն, սնվում է խոտով և մեզ շոկոլադե կաթ է տալիս…»:
Ա՛յ, տեսնո՞ւմ ես,- ասում է մայրը՝ ինքն իրենից գոհ:
Դե ինչ պիտի անի: Նա մի թեթև գուշակում է, որ խոսքը կենդանաբանության մասին չէ, այլ՝ ձկան յուղի, բայց հետո հավաքում է իրեն, փակում է աչքերը և ծափահարությունների ներքո մի կումով կուլ է տալիս դասը:
Այնտեղ կան նաև ջանասեր աշակերտներ, կան աշխատասերներ և նույնիկ՝ ուսման ծարավներ: Նրանք արթնանում են կեսգիշերին, զգույշ վերցնում են պատմության շիշը և խմում մինչև վերջին կաթիլը: Դրանից նրանք շատ կրթված են դառնում:
Մանկապարտեզ հաճախող երեխաների համար էլ ուսումնական կոնֆետներ կան: Դրանք իրենց համով ելակ կամ արքայախնձոր են հիշեցնում և պարունակում են մի քանի պարզ բանաստեղծություն, շաբաթվա օրերի անվանումները, մեկից մինչև տասը թվերը: Իմ ընկեր տիեզերագնացը ինձ այդպիսի մի կոնֆետ տվեց հիշատակ: Ես այն իմ աղջկան տվեցի, և նա անմիջապես սկսեց «Բի» մոլորակի լեզվով գրված ծիծաղելի բանաստեղծություն կարդալ: Այն մոտավորապես այսպես էր հնչում.
Անտա, անտա, պերո պերո,
Պինտա պինտա, պիմ պերո:
Առաջադրանքներ
Ինչպիսի՞ն էին <Բի> մոլորակի երեխաները։նրանք խելացի են Արդյոք նմա՞ն էին մեր մոլորակի երեխաներին։ Ոչ
Մի քանի նախադասությամբ բնութագրի՛ր նրանց։ Նրանք խելացի էին և ինչքան շատ նրանք ըմպեին այդ հյութերը ավելի խելացի կդառնայի։
Ի՞նչ էին անում <Բի> մոլորակի երեխաները դպրոց գնալու փոխարեն։ Նրանք խմում էին հյութ որը նրանց տալիս էր գիտելիքներ։
Ի՞նչ տեսք ու համ ուներ <Բի> մոլորակի քերականությունը։ Ինչո՞ւ։ Քերականությունը անգույն հեղուկ է, ոնց որ հանքային ջուր լինի:
Եթե <Բի> մոլորակում դպրոց լիներ, ի՞նչ կանեին այդ դպրոցի սովորողները։ Փորձի՛ր ներկայացնել նրանց առօրյան։
Ինչպիսի՞ն էին <Բի> մոլորակի մեծահասակները։ Նրանք խելացի էին։
<Բի> մոլորակի խանութներում ինչե՞ր էին վաճառում։ Հյութեր որոնց եթե խմեյն երեխաները խելացի կդարնայն։
Նկարագրի՛ր <Բի> մոլորակը։ Բի մոլորակի վրա գրքեր չկան: Գիտելիքներն անյտեղ վաճառում և գնում են շշերի մեջ: Պատմությունն, օրինակ, վարդագույն ջուր է, նռան հյութի նման, աշխարհագրությունը՝ անանուխի կանաչ ջուր, իսկ քերականությունը անգույն հեղուկ է, ոնց որ հանքային ջուր լինի:
Գրի՛ր այն օրենքները, որոնք գործում են <Բի> մոլորակում։ <Բի> մոլորակում երեխաները ուտում էին կոնֆետներ և դա նրանց տալիս էր գիտելիքներ։ Նույն ել մեծահասակներ բայց նրանք խմումեյն հյութեր։
Month: Ապրիլ 2022
Մի փոքրիկ տղա դուրս եկավ դպրոցից-փոքրիկ տղա մը դուրս ելավ դպրոցէն։
Ես աշխատում եմ գործարանում: -Ես կաշխատիմ գործարանին մեջ։
Մի թռչուն թռավ արտից: — թռչուն մը թռավ արտէն։
Մի մարդ քարից մեծ գեղեցիկ տուն կառուցեց: — մարդ մը քարէն մեծ գեղեցիկ տուն կառուցեց
Մի մեծ արջ ուտում էր անտառի հատապտուղներից: մեծ արջ մը կուտեր անտառի հատապտուղներէն։
Հացից մի կտոր պոկեց և տվեց շանը: Հացեն կտոր մը պոկեց և տվաավ շանը։
Սովից քունը չէր տանում: Սովեն չէր կրնար քնանալ։
Մի օր երեխաները դպրոց էին գնում: Օր մը
երեխաները դպրոց կերթային։
երբ տղաների մայրը խանութում էր, տեսնում է անկրկնելի գունագեղ նկար։երբ տղաներուն մայրը խանութի մեջն էր, կը տեսնէ անկրկնելի գունագեղ նկար։
Մի օր նկարիչը աքաղաղ է նկարում, բայց մոռանում է գունավորել այն:Օր մը նկարիչը աքաղաղ կնկարէ, բայց կը մոռնա գունավորել զայն:
Վարդագույն քաղաքում ահ ու սարսափ էր տարածվել:Վարդագույն քաղաքին մեջ ահ ու սարսափ տարածված էր:
Ժամանակով մի մարդ ու մի կնիկ են լինում։Ժամանակով մարդ մը ու կնիկ մը կային։
Անտառի ծառերից ոչ մեկը նրա հետ ընկերություն չէին անում: Անտառի ծառերէն ոչ մեկը անոր հետ ընկերություն չէին ընէր:
Նա իր ոտքի տակ սեղմել էր մի դեղնափայլ մետաղ ու կանչում էր: Ան իր ոտքին տակ կը սեղմեր դեղնափայլ մետաղ մը ու կը կանչէր։
Մաթեմատիկա 3.17.2022
923.
ա)

բ)

գ)

դ)

ե)

զ)

Մաթեմատիկա3.16.2022
1396. Հաշվե՛ք
բ)

գ)

Մաթեմատիկա 3.14.2022
931.
ա)

բ)

գ)

դ)

Մաթեմատիկա3.10.2022
1387. Կատարե՛ք հաշվումները՝ կիրառելով խառը թվերով թվաբանական գործողություննների ընդհանուր կանոնը




Մաթեմատիկա3.9.2022
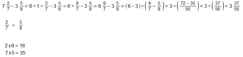
1390. Կատարե՛ք խառը թվերի հանում առավել հարմար եղանակով







Մաթեմատիկա2.21.2022
1346.Անկանոն կոտորակը վերածե՛ք խառը թվի








Մաթեմատիկա2.22.2022






Մաթեմատիկա2.21.2022
855.




