§20. ԷԼԵԿՏՐԱԿԱՆ ՀՈՍԱՆՔԻ ԱՇԽԱՏԱՆՔՆ ՈՒ ՀԶՈՐՈՒԹՅՈՒՆԸ
§21. ՋՈՈՒԼ-ԼԵՆՑԻ ՕՐԵՆՔԸ։ ՇԻԿԱՑՄԱՆ ԼԱՄՊ,ԿԱՐՃ ՄԻԱՑՈՒՄ, ԱՊԱՀՈՎԻՉՆԵՐ
§20Հարցեր և առաջադրանքներ
1. Ի՞նչ բանաձևով են հաշվում հոսանքի աշխատանքը:
Հոսանքի աշխատանքը հաշվում են A = U · I · t բանաձևով, որտեղ U-ն լարումն է, I-ն՝ հոսանքի ուժը, t-ն՝ ժամանակը:
2. Ո՞ր ֆիզիկական մեծությունն են անվանում էլեկտրական հոսանքի հզորություն:
Ի՞նչ բանաձևով են հաշվում հոսանքի հզորությունը:
Էլեկտրական հոսանքի հզորություն կոչվում է այն ֆիզիկական մեծությունը, որը հավասար է հոսանքի աշխատանքի հարաբերությանը այն ժամանակամիջոցին, որի ընթացքում կատարվել է այդ աշխատանքը (P = A / t): Հաշվվում է P = U · I բանաձևով:
3. Հզորության ի՞նչ միավորներ գիտեք: Ինչպե՞ս են առնչվում այդ միավորները վատտին:
Հզորության հիմնական միավորը վատտն է (Վտ): Օգտագործվում են նաև կիլովատը (1 կՎտ = 1000 Վտ), մեգավատը (1 ՄՎտ = 1,000,000 Վտ) և միլիվատը (1 մՎտ = 0,001 Վտ):
4. Ո՞րն է հոսանքի աշխատանքի ոչ համակարգային միավորը: Գրեք այդ միավորի և ջոուլի կապն արտահայտող հավասարությունը:
Հոսանքի աշխատանքի ոչ համակարգային միավորը կիլովատ-ժամն է (կՎտժ): Կապը ջոուլի հետ հետևյալն է. 1 կՎտժ = 3,600,000 Ջ (կամ 3,6 ՄՋ):
5. Վերցրեք ձեր բնակարանի լուսավորման էլեկտրական ջահի լամպերից որևէ մեկը և տետրում գրի առեք լամպի բալոնի վրա նշված տվյալները: Դրանցով հաշվեք լամպի շիկացման թելիկի դիմադրությունը: Որքան էներգիա է ծախսում լամպը 1 ամսում (30 օրում), եթե այն օրական միացված է եղել 3 ժամ: Որքան է պակասել ձեր ընտանիքի բյուջեն 1 ամսում է լամպի աշխատանքի հետևանքով (1 կՎտժամ էլեկտրաէներգիայի սակագինը փնտրեք համացանցում):
Հաշվարկ (10 Վտ լամպի օրինակով).
Ծախս. 0.9 կՎտժ × 45 դրամ ≈ 40.5 դրամ:
Դիմադրություն. R = U²/P = 220²/10 = 4840 Օմ:
Էներգիա (1 ամսում). 10 Վտ × 90 ժամ = 900 Վտժ = 0.9 կՎտժ:
§21 Հարցեր և առաջադրանքներ
1. Ի՞նչ բանաձևով են հաշվում հոսանքակիր հաղորդիչում անջատվող ջերմաքա-նակը:
Հաղորդիչում անջատվող ջերմաքանակը հաշվում են Q = I^2 * R * t բանաձևով:
2. Ձևակերպե՛ք Ջոուլ-Լենցի օրենքը։
Ջոուլ-Լենցի օրենքը. Հոսանքակիր հաղորդիչում անջատվող ջերմաքանակը հավասար է հոսանքի ուժի քառակուսու, հաղորդիչի դիմադրության և ժամանակի արտադրյալին:
3. Բացատրեք, թե ինչու է տաքանում հաղորդիչը, երբ նրա միջով հոսանք է անցնում:
Հաղորդիչը տաքանում է, որովհետև շարժվող էլեկտրոնները բախվում են հաղորդիչի մասնիկներին՝ նրանց փոխանցելով իրենց էներգիան:
4. Ինչպիսի՞ն է շիկացման լամպի կառուցվածքը:
Շիկացման լամպը կազմված է ապակյա բալոնից, որի ներսում գտնվում է վոլֆրամե շիկացման թելիկը և իներտ գազ:
5. Ի՞նչ է Էլեկտրական շղթայի կարճ միացումը: Ի՞նչ անցանկալի երևույթների կարող է հանգեցնել այն:
Կարճ միացումը շղթայի երկու կետերի միացումն է շատ փոքր դիմադրությամբ: Այն բերում է հոսանքի կտրուկ աճի և կարող է հրդեհ առաջացնել:
6. Ի՞նչ նպատակով են օգտագործում էլեկտրական ապահովիչը:
Ապահովիչը օգտագործվում է շղթան ավտոմատ անջատելու համար, երբ հոսանքի ուժը գերազանցում է թույլատրելի սահմանը:
7. Ըստ փաստաթղթերի՝ որոշեք ձեր տանն օգտագործվող էլեկտրական թեյնիկի հզորությունը: Թեյնիկի մեջ ջուր լցրեք: Չափեք ջրի սկզբնական ջերմաստի-ճանը։ Միացրեք էլեկտրական թեյնիկը՝ ջուրը հասցնելով մինչև եռման ջեր-մաստիճանի և գրանցեք տաքացման ժամանակը։ Հաշվեք ջրի տաքացման համար անհրաժեշտ ջերմաքանակը, և այն ջերմաքանակը, որն անջատվում է թեյնիկի ջեռուցող սարքում՝ շնորհիվ հոսանքի ջերմային ազդեցության:
Համեմատեք այդ երկու ջերմաքանակները:
Թեյնիկի հաշվարկ (օրինակ).
Համեմատություն. Թեյնիկի անջատած ջերմաքանակն ավելի մեծ է, քանի որ էներգիայի մի մասը կորչում է շրջակա միջավայրում:
Տվյալներ. P = 2000 Վտ, m = 1 կգ ջուր, t1 = 20 C, t2 = 100 C, ժամանակը` 200 վ:
Ջրի տաքացման ջերմաքանակ. Q = c * m * (t2 — t1) = 4200 * 1 * 80 = 336,000 Ջ:
Թեյնիկի անջատած ջերմաքանակ. Q = P * t = 2000 * 200 = 400,000 Ջ:
Թեմատիկ խնդիրներ
1. Բնակարանի տաքացման համար օգտագործվող 140 Օմ դիմադրություն ունեցող էլեկտրական ջերմատաքացուցիչը նախատեսված է 3.5 Ա հոսանքի ուժի համար: Որքա՞ն էներգիա կծախսի այդ ջերմատաքացուցիչը 8 ժամ անընդհատ աշխատելու դեպքում:

2. Ավտոտնակում էլեկտրական լամպը մոռացել էին անջատել: Որքա՞ն աշխատանք էր իզուր կատարվել 24 ժամում, եթե լամպը միացված էր 110 Վ լարման ցանցին և նրանով անցնող հոսանքի ուժը 0.8 Ա էր:

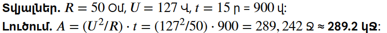
3. 50 Օմ դիմադրություն ունեցող էլեկտրական վարսահարդարիչը միացրեցին 127 Վ լարման ցանցին: Որքա՞ն աշխատանք կկատարի նրանում հոսանքը 15 րոպեի ընթացքում:

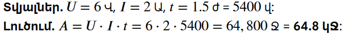
4. 6 Վ լարման և 2 Ա հոսանքի ուժի դեպքում համակարգչի մարտկոցի լիցքավորումը տևեց 1.5 ժամ: Որոշե՛ք հոսանքի կատարած աշխատանքը այդ ընթացքում:

5. 450 Վտ հզորություն ունեցող հեռուստացույցը, ըստ հաշվիչի ցուցմունքի, ծախսել է 360 կՋ էներգիա: Որքա՞ն ժամանակ է միացված եղել հեռուստացույցը:

6. Ճեպընթաց էլեկտրագնացքը, որի շարժիչների ընդհանուր հզորությունը 200 կՎտ է, շարժվում է 180 կմ/ժ միջին արագությամբ: Որքա՞ն աշխատանք են կատարում նրա էլեկտրաշարժիչները 560 կմ ճանապարհ անցնելիս:

7. Ի՞նչ ջերմաքանակ կանջատվի 80 վ-ում 40 Օմ դիմադրություն ունեցող ջեռուցիչ տարրում, եթե այն միացված է 120 Վ լարման ցանցին:

8. Հաղորդչի դիմադրությունը 150 Օմ է, նրանով անցնող հոսանքի ուժը՝ 1.6 Ա: Ի՞նչ ջերմաքանակ կանջատվի նրանում 10 վ-ի ընթացքում:

9. Շղթայի տեղամասում միմյանց հաջորդաբար միացված են R1=40 Օմ և R2 =60 Օմ դիմադրություններով ռեզիստորներ: Տեղամասի ծայրերում լարումը 100 Վ է: 2 րոպեի ընթացքում ի՞նչ ջերմաքանակ կանջատվի հաղորդիչներից յուրաքանչյուրում: Պատասխանը գրել ամբողջ թվի ճշտությամբ:


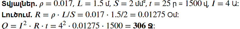
10. Էլեկտրական ջեռուցչի0.017 Օմ⋅մմ2 /մ տեսակարար դիմադրությամբ պղնձե սնուցող հաղորդալարի երկարությունը 1.5 մ է, լայնական հատույթի մակերեսը՝ 2 մմ2 : Որքա՞ն ջերմաքանակ կանջատվի այդ հաղորդալարում 25 րոպեի ընթացքում, եթե շղթայում հոսանքի ուժը 4 Ա է:

