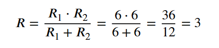
Խնդիր 1․ Որոշեք նկարում պատկերված շղթայի տեղամասի դիմադրությունը, եթե միմյանց միացված ռեզիստորների դիմադրությունները համապատասխանաբար հավասար են՝ R1= 6 Օմ, իսկ R2= 6 Օմ:


պատ․՝ 3Օմ
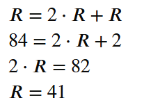
Խնդիր 2․ Շղթայի տեղամասի ընդհանուր դիմադրությունը 84 Օմ է: Շղթայի տեղամասը բաղկացած է միմյանց հաջորդաբար միացված 2 միատեսակ լամպերից և ռեոստատից: Որոշեք լամպերից յուրաքանչյուրի դիմադրությունը, եթե ռեոստատի դիմադրությունը՝ 2 Օմ է:


պատ․՝ 41Օմ
Խնդիր 3․Որքա՞ն է նկարում պատկերված շղթայի տեղամասով անցնող հոսանքի ուժը, եթե հաղորդիչներից առաջինի դիմադրությունը՝ R1= 11 Օմ է, երկրորդինը՝ R2= 9 Օմ: Լարումը տեղամասի ծայրերում՝ U= 40 Վ:


պատ․՝ 2Ա
Խնդիր 4․Բնակարանի տաքացման համար օգտագործվող 100 Օմ դիմադրություն ունեցող էլեկտրական վառարանը նախատեսված է 3.5 Ա հոսանքի ուժի համար: Որքա՞ն էներգիա կծախսի այդ վառարանը5 ժամ անընդհատ աշխատելու դեպքում:
A=I2*R*t


Խնդիր 5․Շքամուտքում էլեկտրական լամպը մոռացել էին անջատել: Որքա՞ն աշխատանք էր իզուր կատարվել 8 ժամում, եթե լամպը միացված էր 220 Վ լարման ցանցին և նրանով անցնող հոսանքի ուժը 1 Ա էր:
